Recently, a customer calculated the mass flow rate of a fluid through an orifice using both the ASME standard MFC-3M-1989 and Datacor Fathom (formerly AFT Arrow). He was puzzled when this mass flow rate calculation differed by approximately 100 lbm/hr between the two methods, so he reached out to AFT for help in determining the reason for the discrepancy. The answer for the difference in flow rates on a basic level is that these two calculations are, fundamentally, not the same thing; ASME correlates differential pressure at pressure taps for purposes of flow measurement, while Datacor Fathomer (fomerly AFT Fathom) and Arrow calculate the irrecoverable pressure drop across the orifice for purposes of system pressure loss.
ASME MFC-3M-1989 ORIFICE FLOWMETER
The ASME standard utilizes the differential pressure measured across pressure taps located very near the orifice in areas specified by the standard. In this region, the static pressure changes due to irrecoverable pressure losses from increased friction and turbulence in the flow, as well as pressure changes that are a result of the vena contracta and complex flow patterns as the fluid progresses through the orifice. It is crucial to note that this measured pressure differential is not equal to the irrecoverable pressure drop. The pressure profile particular to flow through a given orifice and its immediate upstream and downstream piping will vary based on several factors that, aside from computational fluid dynamics (CFD) modeling, can only be determined with experimental data. The ASME standard, then, is applicable only to systems that follow the pressure tap and orifice type, placement, and installation guidelines established by the standard. Figure 1 from the ASME standard (Reference 1) shows the configuration of an orifice with both D and D/2 taps and flange taps.

FIGURE 1: Configuration of Orifice Plate with D and D/2 and Flange Pressure Taps (Reference 1, page 27)
The ASME standard provides Equation 1 to calculate mass flow of a liquid through an ASME orifice flowmeter when the orifice flowmeter diameter is at the temperature of the flowing liquid:
![]()
Where:
![]()
EQUATION 1: Flow through ASME Orifice Flowmeter (Reference 1, page 10)
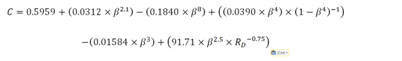
For D and D/2 taps, the equation for C (the discharge coefficient) to be used in Equation 1 is:

![]()
EQUATION 2: Discharge Coefficient for D and D/2 Pressure Taps (Reference 1, page 30)
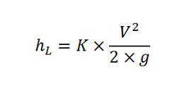
To convert from hw to a true pressure drop, the following relationship between head and pressure is used:
![]()
IRRECOVERABLE PRESSURE DROP EQUATIONS FOR ORIFICE FLOW
AFT software calculates the irrecoverable pressure drop across an orifice using several methods. Perhaps the most popular method uses a K factor (Equations 3 and 4). The K factor is calculated using correlations from various hydraulic resistance sources. In the following example, the K factor was calculated to be 52.6 from I.E. Idelchik’s Handbook of Hydraulic Resistance (Reference 2, page 221). Crane Technical Paper 410 (Reference 3, page 4-5) was also used, and a K factor of 56.0 was calculated using this reference. After the K factor is calculated, it is used in the following equation to calculate head loss:
![]()
Where
![]()
EQUATION 3: Irrecoverable Pressure Drop in terms of Head Loss (Reference 3, page 2-7)
Converting head in Equation 3 into pressure using the following equation gives Equation 4.
![]()
![]()
EQUATION 4: Irrecoverable Pressure Drop in terms of Pressure
SAMPLE CALCULATIONS
To demonstrate the appropriate use of both of these calculation methods, an example calculation was created. The flow was specified at 100 gpm with a 1 inch orifice diameter and a 2.25 inch upstream pipe diameter. The differential pressure across pressure taps was calculated using the equation given in the ASME standard, and the irrecoverable pressure drop across the orifice was calculated using spreadsheet calculations. These calculations were confirmed in AFT Fathom. This principle applies to gas and steam flow, but an incompressible fluid (water at 50°F) was used here for simplicity as varying densities complicate these calculations.
*Note: the ASME standard provides correlations for three types of pressure taps (flange, D and D/2, and corner taps), but the difference in calculated differential pressure was within 0.2 psid for all three pressure tap types, so the correlation for D and D/2 taps was used.
The results of this analysis are shown below:
![]()
FIGURE 2: ASME Orifice Flowmeter Pressure Differential for 100 gpm Water Flow
(from Equation 1)
![]()
FIGURE 3: Irrecoverable Pressure Drop Across an Orifice with 100 gpm Water Flow
(from Equation 4)
As can be seen from the results shown in Figures 2 and 3, the pressure differential measured at the flowmeter pressure taps is different than the irrecoverable pressure drop.
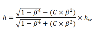
The ASME standard does provide a correlation to relate the differential pressure at the orifice flowmeter to the irrecoverable pressure loss of the orifice flowmeter. This equation is shown in Equation 5.
![]()
EQUATION 5: Irrecoverable Pressure Drop Across an ASME Orifice Flowmeter
(Reference 1, page 32)
![]()
FIGURE 4: Irrecoverable Pressure Drop Across an Orifice using ASME Equation 5
This irrecoverable pressure drop predicted by the ASME standard for the orifice flowmeter (Figure 4) is very close to that calculated in Figure 3. This further illustrates that the ASME flowmeter differential pressure (Figure 2) is not the same thing as the irrecoverable pressure drop across an orifice (Figures 3 and 4). AFT software uses Equation 4 to calculate the irrecoverable pressure drop across an orifice.
CONCLUSION
When it comes to assessing flow rate through an orifice, ASME standard MFC-3M 1989 relates a pressure differential across pressure taps while AFT software calculates an irrecoverable pressure drop associated with the orifice. Therefore, while both of these methods ultimately calculate flow through an orifice, the equations associated with each were developed to be applied differently, and the user must be cautious to ensure that his/her input is applicable to the particular calculation method used.
REFERENCES
- ASME MFC-3M-1989. “Measurement of Fluid Flow in Pipes Using Orifice, Nozzle, and Venturi”. Date of Issuance: January 31, 1990.
- Idelchik, I.E. Handbook of Hydraulic Resistance. 3rd edition.
- Crane Co. “Flow of Fluids through Valves, Fittings, and Pipe Technical Paper No. 410”. Reprinted 11/09.